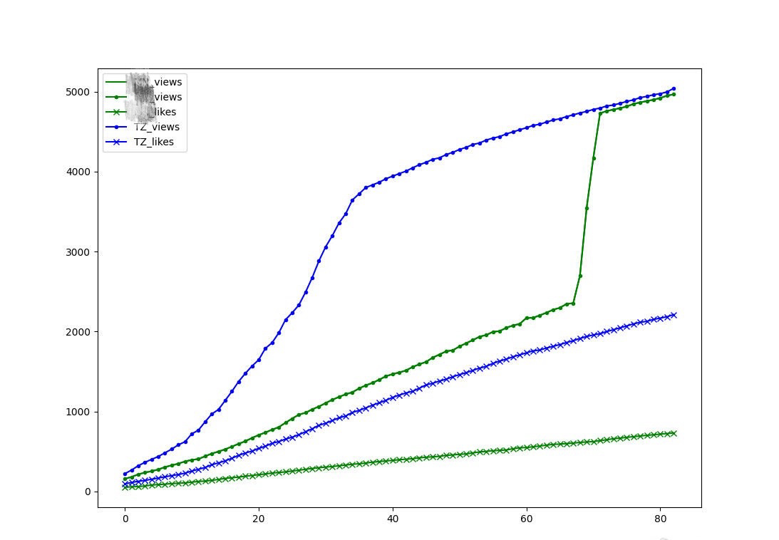
【1564号来信】看见最近总有人质疑子瑜直拍注水,所以整理了一下瑜吹对最近两场的直拍数据,数据图一目了然。
最后想说,瑜粉从来不屑于做这么low的行为,子瑜的美貌会主动吸引大家去看直拍的!b站的直拍已经50w播放量了,子瑜的美貌有目共睹!
补充,如果再有人质疑瑜粉注水,也希望大家能用这几张图打脸一下一些心怀不轨的人,我们瑜就是大top毋庸置疑!
【1564号来信】看见最近总有人质疑子瑜直拍注水,所以整理了一下瑜吹对最近两场的直拍数据,数据图一目了然。
最后想说,瑜粉从来不屑于做这么low的行为,子瑜的美貌会主动吸引大家去看直拍的!b站的直拍已经50w播放量了,子瑜的美貌有目共睹!
补充,如果再有人质疑瑜粉注水,也希望大家能用这几张图打脸一下一些心怀不轨的人,我们瑜就是大top毋庸置疑!
作者最新文章
热门分类