万益资讯网
不等式专题:琴生不等式在高中的应用
一枚十年数学刘国栋
2024-07-15 12:48:30
0
阅读:5
评论列表
申申是个呆娃娃
2
2024-07-16 13:52
什么书?
一枚十年数学刘国栋
感谢大家的关注
作者最新文章
1
几个重要的不懂式你掌握几个
2
准高二暑假开始卷起来:学习新课直线方程
3
高一衔接课不等式太难了,三节课讲不完!
4
高一数学网课不等式节选
5
新高二暑期讲义印刷完了今天晚上开课
6
新高一讲不等式了!开始变难了
7
高二清北班一轮复习:同构思想比较大小节选
8
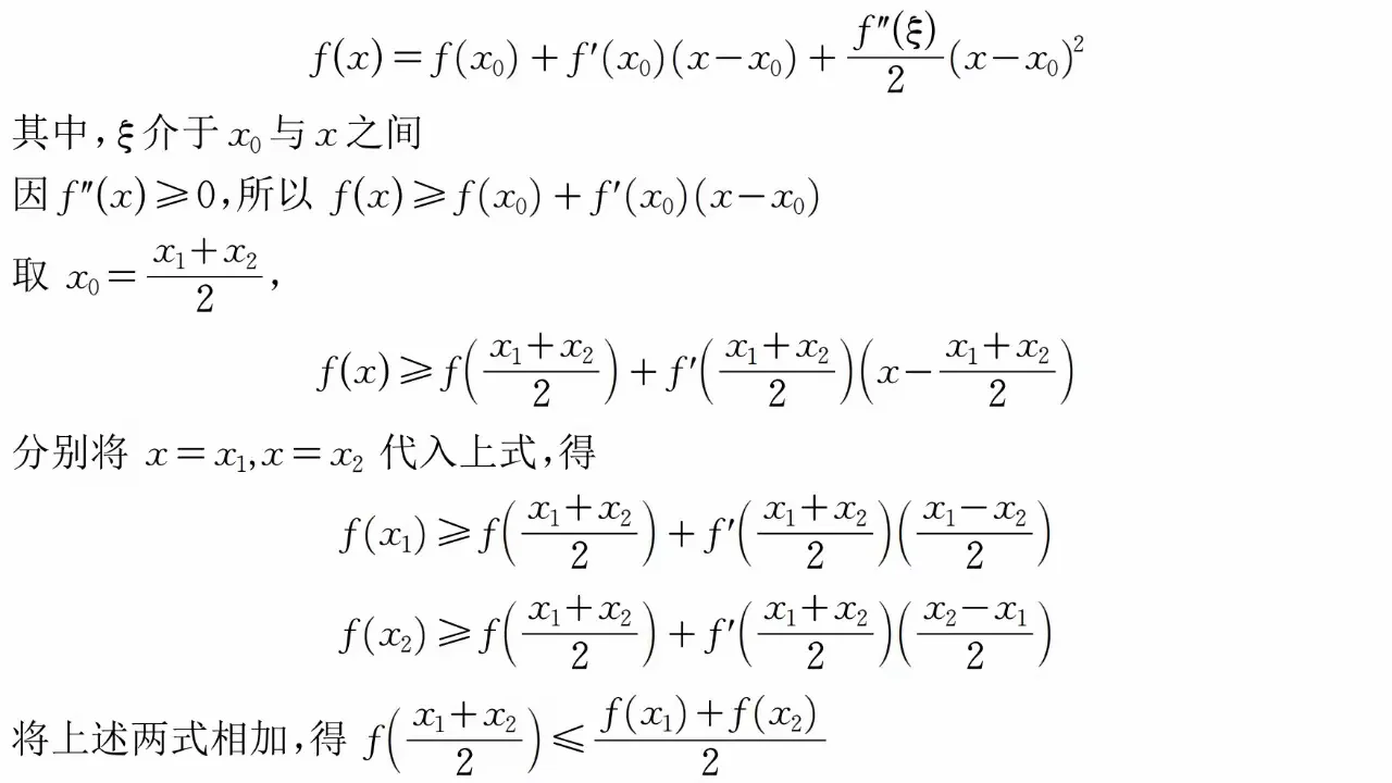
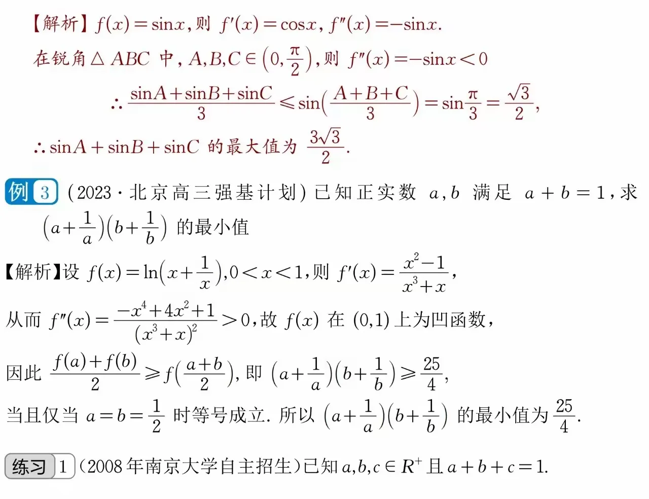
不等式专题:琴生不等式在高中的应用
9
孩子们期末进步很大请大家集体喝星巴克
10
高三清北班一轮复习:基本不等式节选
热门分类
推荐
热榜
军事
NBA
体育
社会
明星八卦
娱乐
财经
科技
汽车
历史
国际
游戏
动漫
公益
搞笑
商业
互联网
数码
国际足球
房产
家居
时尚
科学探索
职场
育儿
股票
教育
影视
情感
热点
中国军情
武器
中国南海
中国足球
亚洲杯
科比
综合体育
CBA
投资
大咖秀
外汇
创业
风口
SUV
豪车
概念车
优惠
新能源
美国
欧洲
朝日韩
俄罗斯
孕期
街拍
婚姻
正能量
教育
TOP
1
内蒙古通辽市一位高三男生,利用课余时间自学中医,不少同学和老师反馈,给他把脉过诊
2
学校查寝时没收的,太可怕了
3
来了新理发师之前间隔15天理发,现在5天就得理一次发
4
现在的女大学生这么讲究的吗?
5
为啥现在大学生都喜欢这样穿呀,有人清楚不?
6
一些大学老师开始坐班了对此有网友表示说:“读大学的时候,我很羡慕当时的老师,
7
#教育部拟同意设置15所本科学校#
8
我姐考上大学那年,家里穷得叮当响,是舅舅咬着牙把陪嫁的缝纫机卖了,凑够了她的学费
9
但凡有个高中文化,也不会这么编
10
全国985大学2026年寒假时长排行榜公布,真是几家欢喜几家愁!网传信息显示,放
教育
最新文章
1
“高手在民间”。近日,广东江门一高校内,一名保安在学校的篮球场上表演的花式篮球,
2
活该!2025年9月广西桂平市实验中学地理男教师陶某与女学生长期维持不正当关系
3
你来预测一下?1.白领将集体消失2.别再为退休存钱3.大学将失去意义4.
4
取消期末统考,表面看是“少考一次”,实质是把“统一标尺”从课桌上抽走,让教育回到
5
取消期末统考,一个好处是,不能对学生成绩进行区域排名,也不再按统考成绩评价学校。
6
2026年多地取消高中统考,家长松一口气?减负新风真的能吹到每个角落!“多
7
师范大学学哪个专业比较好,女生师范类大学的师范类专业在同一所学校来讲,你可以根据
8
重庆一中老师把学生按地上剪发,留言里居然有人说“我会把孩子按地上剪”?就
9
现在的女大学生这么讲究的吗?
10
新华社1月7号这新闻,看得我心里直发酸。30个卢旺达留学生从金华毕业回国,一个
申申是个呆娃娃
什么书?