万益资讯网
明天开始二项式定理6.3.2二项式系数的性质
弄了与数学
2025-12-20 00:41:26
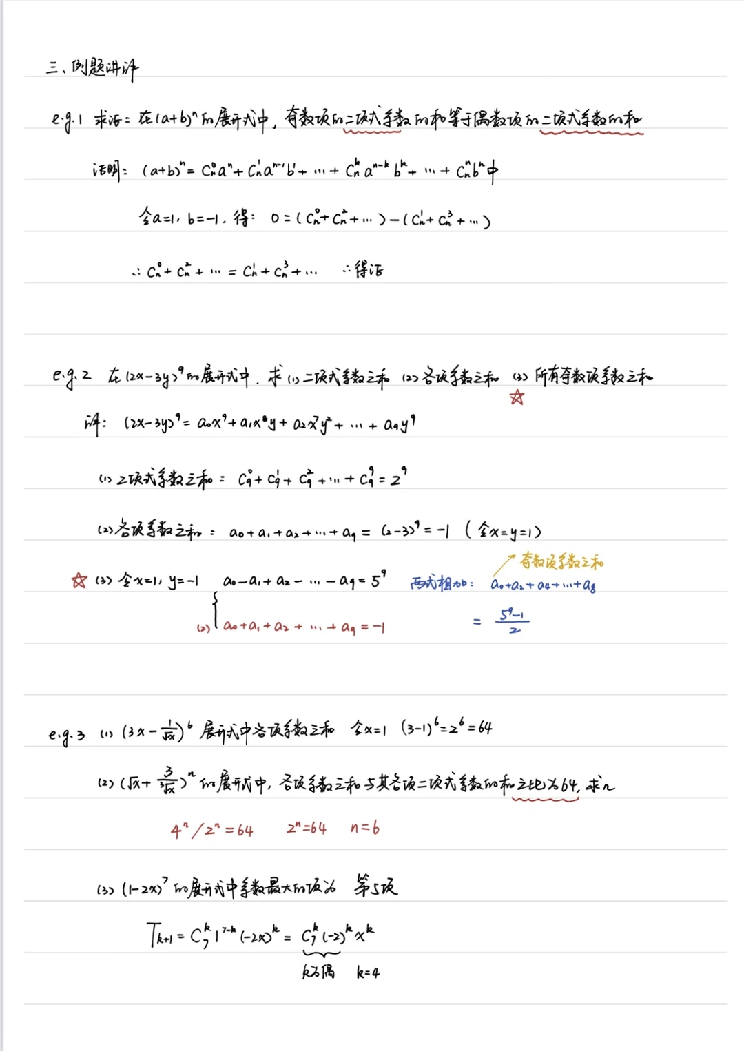
下周得换个口味了,明天开始二项式定理。
0
阅读:0
弄了与数学
感谢大家的关注
作者最新文章
1
📚iPad备课心得|数学老师的教案半期小结
2
📚二项式定理必考题型!刷完试卷轻松拿捏💯
3
📐杨辉三角×二项式定理|数学的对称美学
4
明天开始二项式定理6.3.2 二项式系数的性质
5
今天又学到新知识啦!微专题——球盒模型
6
哇!数列递推还能解决排列组合的相关问题!
7
要抓紧讲新课啦~6.3.1 二项式定理
8
排列组合很难?做这个专题——排列组合归类
9
培优专题——导数双变量问题&三角放缩
10
要坚持更新啊~6.2 组合和组合数
热门分类
推荐
热榜
军事
NBA
体育
社会
明星八卦
娱乐
财经
科技
汽车
历史
国际
游戏
动漫
公益
搞笑
商业
互联网
数码
国际足球
房产
家居
时尚
科学探索
职场
育儿
股票
教育
影视
情感
热点
中国军情
武器
中国南海
中国足球
亚洲杯
科比
综合体育
CBA
投资
大咖秀
外汇
创业
风口
SUV
豪车
概念车
优惠
新能源
美国
欧洲
朝日韩
俄罗斯
孕期
街拍
婚姻
正能量
教育
TOP
1
作为大学,在上课时穿得这么暴露,难道老师不管吗?
2
越南表妹阿香一天比一天漂亮05年在校大学生河内国际学院2026年6
3
到了高中,你会发现:1、中考考上普通高中,从高一一入学就开始努力,上课认真
4
分享一个真实的教学案例高一期末考试成绩:语文:95分,数学:131分,英语:
5
女老师穿2.8万元“大衣”上课被家长举报老师发文霸气回怼:工资够花、没刻
6
学术圈的遮羞布,终于被扯下来了。34岁韦东奕,一巴掌打醒了谁?北大韦神韦
7
上中学的时侯,有一次回家,看见同班的一个女同学在被小混混调戏。在绿化带上拉拉扯扯
教育
最新文章
1
分享一个真实的教学案例高一期末考试成绩:语文:95分,数学:131分,英语:
2
上中学的时侯,有一次回家,看见同班的一个女同学在被小混混调戏。在绿化带上拉拉扯扯
3
作为大学,在上课时穿得这么暴露,难道老师不管吗?
4
学术圈的遮羞布,终于被扯下来了。34岁韦东奕,一巴掌打醒了谁?北大韦神韦
5
女老师穿2.8万元“大衣”上课被家长举报老师发文霸气回怼:工资够花、没刻
6
越南表妹阿香一天比一天漂亮05年在校大学生河内国际学院2026年6
7
到了高中,你会发现:1、中考考上普通高中,从高一一入学就开始努力,上课认真