万益资讯网
萌兔萌喵的文章
人类有没有可能是宇宙中唯一的文明? 说实话,以前老看这种描述,觉得地球太小,宇宙
科学探索
2025-10-07 15:08
如何证明√8-√2=√2? 这是一个略有难度的问题,这里需要用到一些高等数学的知
教育
2025-10-03 22:00
为什么物理学的突破放缓了? 现在的大众认识的物理学家除去了几位对我国做出重大贡献
科学探索
2025-10-03 15:31
有没有来自农村的父母,你理解他们的教育方式吗? 我父母是农村的,他们自身的资源本
情感
2025-10-01 02:10
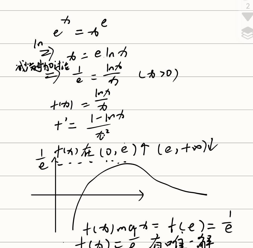
根据过往文献来看,这道题的答案有极大可能是e,为此我做了如下构造和计算!
教育
2025-10-01 00:40
当年毕业的时候拿到学位证没留意,后来出去找工作连续被5家单位拒了我才意识到问题的
教育
2025-09-29 00:22
前几年在青海旅游开车撞死一头牛,赔了2万块钱,牛主人却不让我把死牛带走! 当时天
社会
2025-09-28 15:37
近日,在网上读到一篇关于韩国对待挖掘出的志愿军遗骸的报道,内心深受触动。 韩国在
国际
2025-09-27 14:24
光从来不沿直线传播!只是走了一条最优路径。 在量子世界里,微小的粒子展现出一种反
科学探索
2025-09-24 11:02
儿子给我出的数学题,不能用计算器。身为大学数学教师的我,当然想到高等数学构造函数
教育
2025-09-23 18:49
如何证明 √2 + √3 + √5 + √7 是无理数? 这里有一个绝妙证法:
科学探索
2025-09-22 16:15
如何证明 √2 + √3 + √5 是无理数? 某乎上给出一种特别无趣的证明方法
科学探索
2025-09-21 09:54
有没有哪一个身份证号恰好是完全平方数? 身份证号开方身份证号的本质是基于现实身份
社会
2025-09-20 11:42
对这个惊为天人的证明,我感觉做了什么,又什么都没有做。 这也是迄今为止我见过最惊
科学探索
2025-09-19 18:47
小学的时候有一道数学题不会做,我去问我姐。我姐当时上初中,她看了一眼说,这题很简
教育
2025-09-19 15:28
确实现在中小学数学题是越来越难了。 我拿到小学生的题目。尤其是难一点儿的,都不知
教育
2025-09-19 01:31
安以轩,家境优渥,大美女,五官轮廓都长得很好,皮相骨相俱佳,没有硬伤。 高龄产妇
娱乐
2025-09-06 14:27
大S的粉丝啪啪打脸贾永婕和具俊晔。最近,有粉丝去墓园看望大S,结果一下子就看到了
娱乐
2025-09-04 16:52
张兰亮相姜育恒演唱会。
娱乐
2025-08-31 00:27
中天小姐姐来到汪小菲的四合院餐厅做客了?最近,中国新闻网专访了中天小姐姐何橞榕,
娱乐
2025-08-30 22:01
第一页
下一页
萌兔萌喵
娱乐,追星,请多多关照
热门分类
推荐
热榜
军事
NBA
体育
社会
明星八卦
娱乐
财经
科技
汽车
历史
国际
游戏
动漫
公益
搞笑
商业
互联网
数码
国际足球
房产
家居
时尚
科学探索
职场
育儿
股票
教育
影视
情感
热点
中国军情
武器
中国南海
中国足球
亚洲杯
科比
综合体育
CBA
投资
大咖秀
外汇
创业
风口
SUV
豪车
概念车
优惠
新能源
美国
欧洲
朝日韩
俄罗斯
孕期
街拍
婚姻
正能量